Rain, mainly after 11pm. Low around 36. Southeast wind 11 to 17 mph, with gusts as high as 33 mph. Chance of precipitation is 100%.
Saturday
Rain, mainly before 4pm. High near 43. Breezy, with a southeast wind 16 to 20 mph becoming west in the afternoon. Winds could gust as high as 33 mph. Chance of precipitation is 100%.
Saturday Night
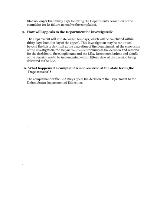
Cloudy, with a low around 21. Breezy, with a west wind 13 to 21 mph, with gusts as high as 33 mph.